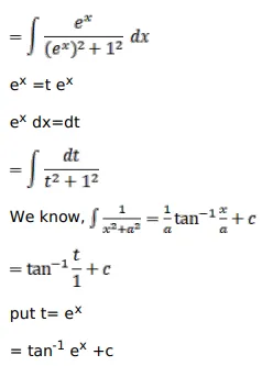
Question:
Mark $(\sqrt{)}$ against the correct answer in each of the following:
$\int \frac{\mathrm{dx}}{\left(\mathrm{e}^{\mathrm{x}}+\mathrm{e}^{-x}\right)}=?$
A. $\tan ^{-1}\left(\mathrm{e}^{\mathrm{x}}\right)+\mathrm{C}$
B. $\tan ^{-1}\left(\mathrm{e}^{-\mathrm{x}}\right)+\mathrm{C}$
C. $-\tan ^{-1}\left(e^{-x}\right)+C$
D. none of these
Solution:

