Solve this following

Question:

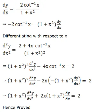
If $y=\left(\cot ^{-1}\right)^{2}$, then show that $\left(x^{2}+1\right)^{2} \frac{d^{2} y}{d x^{2}}+2 x\left(x^{2}+1\right) \frac{d y}{d x}=2$

Solution:

Leave a comment