Question:
Mark $(\sqrt{ })$ against the correct answer in each of the following:
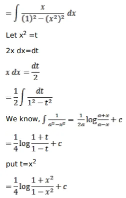
$\int \frac{x}{\left(1-x^{4}\right)} d x=?$
A. $\frac{1}{4} \log \left|\frac{1+x^{2}}{1-x^{2}}\right|+C$
B. $\frac{1}{4} \log \left|\frac{1-x^{2}}{1+x^{2}}\right|+C$
C. $\frac{1}{2} \log \left|\frac{1+x^{2}}{1-x^{2}}\right|+C$
D. none of these
Solution:
