Solve this following

Question:

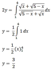
Prove that

$\int_{1}^{4} \frac{\sqrt{x}}{(\sqrt{5-x}+\sqrt{x})} d x=\frac{3}{2}$

Solution:

Leave a comment