Solve this following

Question:

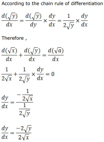
Find, when:

$\sqrt{\mathrm{x}}+\sqrt{\mathrm{y}}=\sqrt{\mathrm{a}}$

Solution:

Let us differentiate the whole equation w.r.t $x$

$\frac{d y}{d x}=\frac{-\sqrt{y}}{\sqrt{x}}$

Leave a comment