Solve this following

Question:

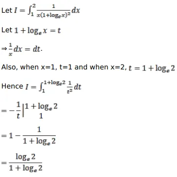
Evaluate the following integrals

$\int_{1}^{2} \frac{d x}{x(1+\log x)^{2}}$

Solution:

Leave a comment