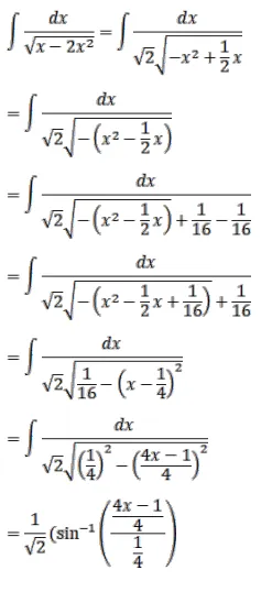
Question:
Mark $(\sqrt{)}$ against the correct answer in each of the following:
$\int \frac{d x}{x(1-2 x)}=?$
A. $\frac{1}{\sqrt{2}} \sin ^{-1}(2 x-1)+C$
B. $\frac{1}{\sqrt{2}} \sin ^{-1}(2 x+1)+C$
C. $\frac{1}{\sqrt{2}} \sin ^{-1}(4 x+1)+C$
D. $\frac{1}{\sqrt{2}} \sin ^{-1}(4 x-1)+C$
Solution:

