Solve this following

Question:

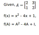
If $A=\left[\begin{array}{ll}2 & 3 \\ 1 & 2\end{array}\right]$ and $f(x)=x^{2}-4 x+1$, find $f(A)$

 

Solution:

Leave a comment