Solve this following

Question:

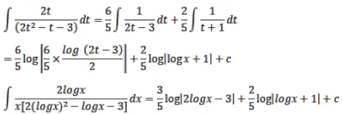
Evaluate:

$\int \frac{2 \log x}{x\left[2(\log x)^{2}-\log x-3\right]} d x$

Solution:

Leave a comment