Solve this following

Question:

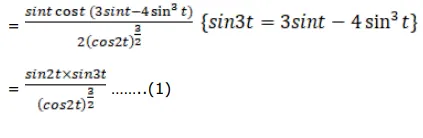
If $x=\frac{\sin ^{3} t}{\sqrt{\cos 2 t}}, y=\frac{\cos ^{3} t}{\sqrt{\cos 2 t}}$, find $\frac{d y}{d x}$

Solution:

 

Leave a comment