Solve this following

Question:

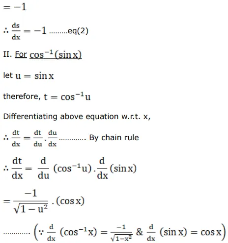
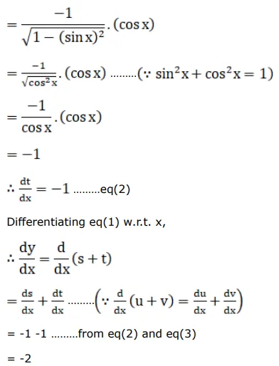
If $y=\sin ^{-1}(\cos x)+\cos ^{-1}(\sin x)$, prove that $\frac{d y}{d x}=-2$

 

Solution:

Leave a comment