Solve this following
Question:
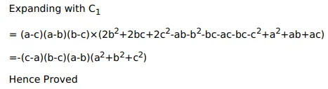
Prove that $\left|\begin{array}{lll}1 & a^{2}+b c & a^{3} \\ 1 & b^{2}+c a & b^{3} \\ 1 & c^{2}+a b & c^{3}\end{array}\right|=-(a-b)(b-c)(c-a)\left(a^{2}+b^{2}+c^{2}\right)$
Solution:

