Solve this following

Question:

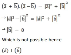
Prove that $(\vec{a}+\vec{b}) \cdot(\vec{a}-\vec{b})=|\vec{a}|^{2}+|\vec{b}|^{2} \Leftrightarrow \vec{a} \perp \vec{b}$, where $\vec{a} \neq \overrightarrow{0}$ and $\vec{b} \neq \overrightarrow{0}$.

Solution:

Leave a comment