Solve this following

Question:

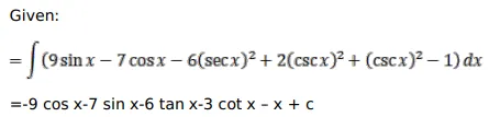
Evaluate:

$\int\left(9 \sin x-7 \cos x-\frac{6}{\cos ^{2} x}+\frac{2}{\sin ^{2} x}+\cot ^{2} x\right) d x$

Solution:

Leave a comment