Solve this following

Question:

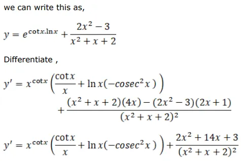
$y=x^{\cot x}+\frac{2 x^{2}-3}{x^{2}+x+2}$, find $\frac{d y}{d x}$

Solution:

 

Leave a comment