Solve this following

Question:

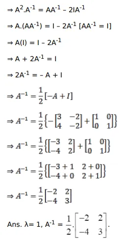
If $A=\left[\begin{array}{ll}3 & -2 \\ 4 & -2\end{array}\right]$. Find the value of $\lambda$ so that $A^{2}=\lambda A-21 .$ Hence, find $A^{-1}$.

Solution:

Leave a comment