Solve this following

Question:

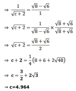
Find ' $c$ ' of Lagrange's mean-value theorem for

$f(x)=\sqrt{x+2}$ on $[4,6]$

Solution:

Leave a comment