Solve this following

Question:

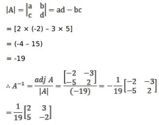
If $A=\left[\begin{array}{cc}2 & 3 \\ 5 & -2\end{array}\right]$, show that $A^{-1}=\frac{1}{19} A$.

 

Solution:

Hence Proved

 

Leave a comment