Solve this following

Question:

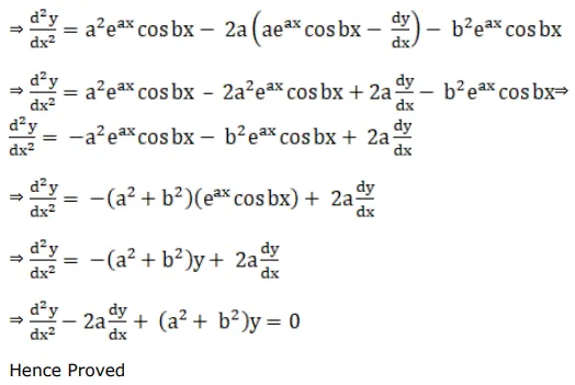
If $y=e^{a x} \cos b x$, show that $\frac{d^{2} y}{d x^{2}}-2 a \frac{d y}{d x}+\left(a^{2}+b^{2}\right)=0$

Solution:

Leave a comment