Solve this following

Question:

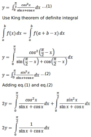
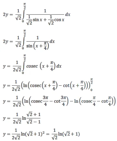
Prove that

$\int_{0}^{\pi / 2} \frac{\cos ^{2} x}{(\sin x+\cos x)} d x=\frac{1}{\sqrt{2}} \log (\sqrt{2}+1)$

Solution:

Leave a comment