Question:
Mark $(\sqrt{ })$ against the correct answer in each of the following:
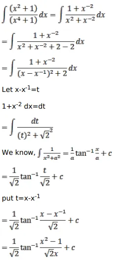
$\int \frac{\left(x^{2}+1\right)}{\left(x^{4}+1\right)} d x=?$
A. $\frac{1}{2} \tan ^{-1}\left(\frac{\mathrm{x}^{2}+1}{\sqrt{2} \mathrm{x}}\right)+\mathrm{C}$
B. $\frac{1}{2} \tan ^{-1}\left(\frac{x^{2}-1}{\sqrt{2} x}\right)+C$
C. $\frac{1}{\sqrt{2}} \log \left(\frac{x^{2}+1}{x^{2}-1}\right)+C$
D. none of these
Solution:
