Solve this following
Question:
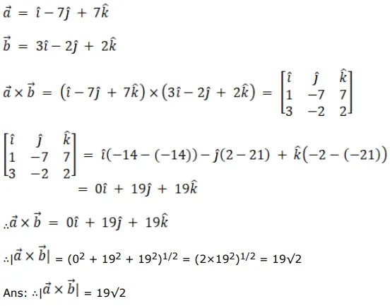
If $\vec{a}=(\hat{i}-7 \hat{j}+7 \hat{k})$ and $\overrightarrow{\mathrm{b}}=(3 \hat{\mathrm{i}}-2 \hat{\mathrm{j}}+2 \hat{\mathrm{k}})$ then find $|\overrightarrow{\mathrm{a}} \times \overrightarrow{\mathrm{b}}|$
Solution:
