Solve this following

Question:

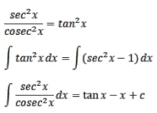
Evaluate:

$\int \frac{\sec ^{2} x}{\operatorname{cosec}^{2} x} d x$

Solution:

Leave a comment