Solve this following

Question:

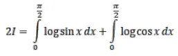
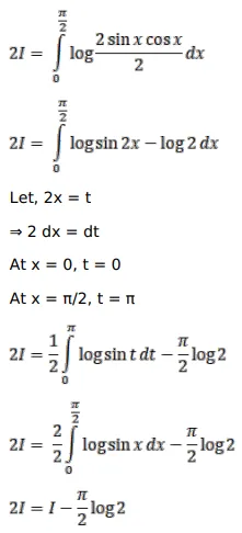
Prove that

$\int_{0}^{\pi / 2} \log (\tan x+\cot x) d x=\pi(\log 2)$

Solution:

Leave a comment