Solve this following Question

Question:

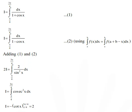
The integral $\int_{\frac{\pi}{4}}^{\frac{3 \pi}{4}} \frac{d x}{1+\cos x}$ is equal to :-

  1. -1

  2. -2

  3. 2

  4. 4


Correct Option: , 3

Solution:

Leave a comment