Solve this following Question

Question:

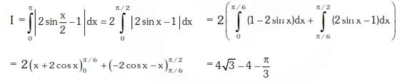
The integral $\int_{0}^{\pi} \sqrt{1+4 \sin ^{2} \frac{x}{2}-4 \sin \frac{x}{2}} d x$ equals :

  1. $\pi-4$

  2. $\frac{2 \pi}{3}-4-4 \sqrt{3}$

  3. $4 \sqrt{3}-4$

  4. $4 \sqrt{3}-4-\frac{\pi}{3}$


Correct Option: , 4

Solution:

Leave a comment