Solve this following Question

Question:

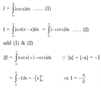
$\int_{0}^{\pi}[\cot x] \mathrm{dx}$, where $[\cdot]$ denotes the greatest integer function, is equal to -

  1. $-1$

  2. $-\frac{\pi}{2}$

  3. $\frac{\pi}{2}$

  4. 1


Correct Option: 1

Solution:

Leave a comment