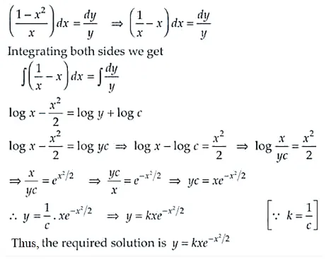
Solve: ydx – xdy = x2ydx.

Question:

Solve: ydx – xdy x2ydx.

Solution:

Given equation, ydx – xdy = x2ydx

y dx – x2y dx = xdy

y (1 – x2) dx = xdy

Leave a comment