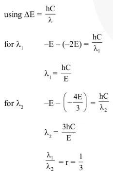
Question: Some energy levels of a molecule are shown in the figure. The ratio of the wavelengths $\mathrm{r}=\lambda_{1} / \lambda_{2}$, is given by

(A) $r=\frac{3}{4}$
$r=\frac{1}{3}$
$\mathrm{r}=\frac{4}{3}$
$r=\frac{2}{3}$
Correct Option: , 2
Solution:
