Question:
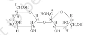
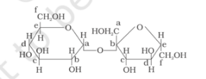
Structure of a disaccharide formed by glucose and fructose is given below.
Identify anomeric carbon atoms in monosaccharide units.

(i) ‘a’ carbon of glucose and ‘a’ carbon of fructose.
(ii) ‘a’ carbon of glucose and ‘e’ carbon of fructose.
(iii) ‘a’ carbon of glucose and ‘b’ carbon of fructose.
(iv) ‘f’ carbon of glucose and ‘f ’ carbon of fructose.
Solution:
Option (iii) ‘a’ carbon of glucose and ‘b’ carbon of fructose. is the answer.