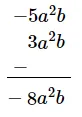
Subtract:3a2b from −5a2b
On arranging the terms of the given expressions in the descending powers of $x$ and subtracting:
Share via...
Or copy link
Leave a comment
All Study Material