Question:
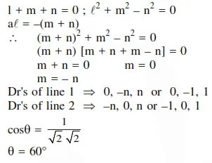
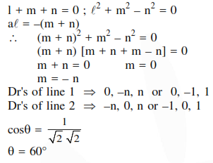
The acute angle between two lines such that the direction cosines $\ell, \mathrm{m}, \mathrm{n}$ of each of them satisfy the equations $\ell+\mathrm{m}+\mathrm{n}=0$ and $\ell^{2}+\mathrm{m}^{2}-\mathrm{n}^{2}=0$ is :-
Correct Option: 3,
Solution:
