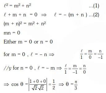
Question: The angle between the lines whose direction cosines satisfy the equations $\ell+\mathrm{m}+\mathrm{n}=0$ and $\ell^{2}=\mathrm{m}^{2}+\mathrm{n}^{2}$ is :
$\frac{\pi}{3}$
$\frac{\pi}{4}$
$\frac{\pi}{6}$
$\frac{\pi}{2}$
Correct Option: 1
Solution:
