Question:
The angle between the straight lines, whose direction cosines are given by the equations $2 l+2 \mathrm{~m}-\mathrm{n}=0$ and $\mathrm{mn}+\mathrm{n} l+l \mathrm{~m}=0$, is :
Correct Option: 1
Solution:
$\mathrm{n}=2(\ell+\mathrm{m})$
$\ell \mathrm{m}+\mathrm{n}(\ell+\mathrm{m})=0$
$\ell \mathrm{m}+2(\ell+\mathrm{m})^{2}=0$
$2 \ell^{2}+2 \mathrm{~m}^{2}+5 \mathrm{~m} \ell=0$
$2\left(\frac{\ell}{m}\right)^{2}+2+5\left(\frac{\ell}{m}\right)=0$
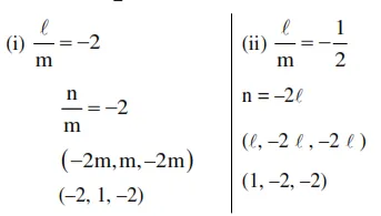
$2 t^{2}+5 t+2=0$
$(t+2)(2 t+1)=0$
$\Rightarrow \mathrm{t}=-2 ;-\frac{1}{2}$

$\cos \theta=\frac{-2-2+4}{\sqrt{9} \sqrt{9}}=0 \Rightarrow 0=\frac{\pi}{2}$