Question:
The antifertility drug 'Novestrol" can react with :
Correct Option: 1
Solution:

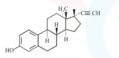
Ethynylestradiol (novestrol)
gives (1) $\mathrm{Br}_{2}+\mathrm{H}_{2} \mathrm{O}$ test
(2) Lucas test with $\mathrm{ZnCl}_{2}+\mathrm{HCl}$
(3) $\mathrm{FeCl}_{3}$ test of phenolic group.