Question:
The antifertility drug "Novestrol" can react with :
Correct Option: , 4
Solution:

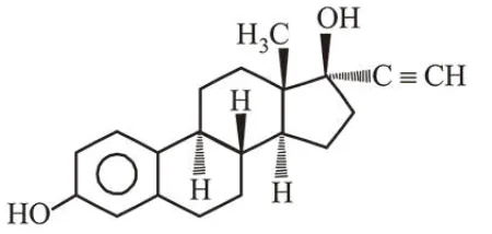
Novestrol has phenolic, alcoholic and terminal alkyne groups, so it can react with $\mathrm{Br}_{2}$ water, $\mathrm{ZnCl}_{2} l \mathrm{HCl}$ as well as $\mathrm{FeCl}_{3}$.