The area bounded by

Question:

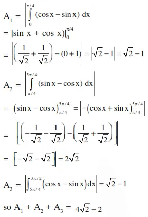
The area bounded by the curves $y=\cos x$ and $y=\sin x$ between the ordinates $x=0$ and $x=$ $\frac{3 \pi}{2}$ is :-

  1. $4 \sqrt{2}-2$

  2. $4 \sqrt{2}+2$

  3. $4 \sqrt{2}-1$

  4. $4 \sqrt{2}+1$


Correct Option: 1

Solution:

Leave a comment