The area bounded by

Question:

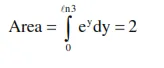
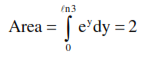
The area bounded by the curve $\mathrm{y}=\ln (x)$ and the lines $y=0, y=\ln (3)$ and $x=0$ is equal to :

  1. $3 \ln (3)-2$

  2. 3

  3. 2

  4. $3 \ln (3)+2$


Correct Option: , 3

Solution:

Leave a comment