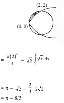
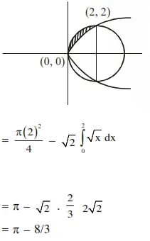
Question: The area (in sq.units) of the region $\left\{(x, y): y^{2} \geq 2 x\right.$ and $\left.x^{2}+y^{2} \leq 4 x, x \geq 0, y \geq 0\right\}$ is :-
$\frac{\pi}{2}-\frac{2 \sqrt{2}}{3}$
$\pi-\frac{4}{3}$
$\pi-\frac{8}{3}$
$\pi-\frac{4 \sqrt{2}}{3}$
Correct Option: , 3
Solution:
