The area of the region bounded by the parabola

Question:

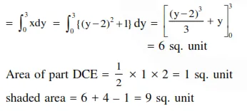
The area of the region bounded by the parabola $(\mathrm{y}-2)^{2}=\mathrm{x}-1$, the tangent to the parabola at the point $(2,3)$ and the $x$-axis is :-

  1. 9

  2. 12

  3. 3

  4. 6


Correct Option: 1

Solution:

Leave a comment