The arithmetic mean of the following data is 14. Find the value of k.

Given:

Mean $=14$
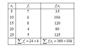
First of all prepare the frequency table in such a way that its first column consist of the values of the variate $\left(x_{i}\right)$ and the second column the corresponding frequencies $\left(f_{i}\right)$.
Thereafter multiply the frequency of each row with corresponding values of variable to obtain third column containing $\left(f_{i} x_{i}\right)$.
Then, sum of all entries in the column second and denoted by $\sum f_{i}$ and in the third column to obtain $\sum f_{i} x_{i}$.

We know that mean, $\bar{X}=\frac{\sum f_{i} x_{i}}{\sum f_{i}}$
$14=\frac{360+10 k}{24+k}$
By using cross multiplication method,
$336+14 k=360+10 k$
$14 k-10 k=360-336$
$4 k=24$
$k=6$
Hence, k = 6