The coefficient of

Question:

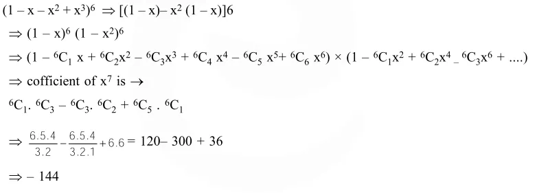
The coefficient of $x^{7}$ in the expansion of $\left(1-x-x^{2}+x^{3}\right)^{6}$ is :-

  1.  – 144 

  2. 132

  3. 144

  4.  – 132


Correct Option: 1

Solution:

Leave a comment