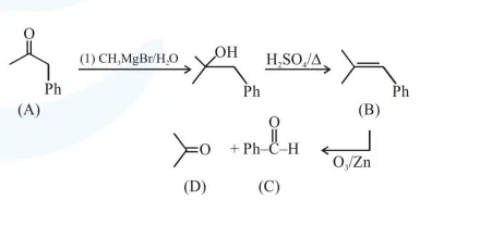
The compound A in the following reaction is :

Question:

The compound $\mathrm{A}$ in the following reaction is :

 


Correct Option: , 3

Solution:

Leave a comment