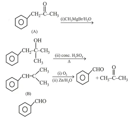
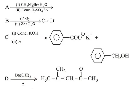
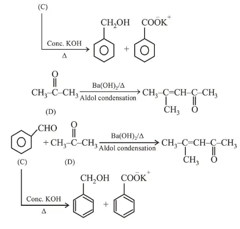
The compound A in the following reactions is :

Question:

The compound A in the following reactions is :


Correct Option: , 3

Solution:

Leave a comment