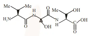
The correct sequence of amino acids present in the tripeptide given below is :

Question:

The correct sequence of amino acids present in the tripeptide given below is :

  1. Leu - Ser - Thr

  2. Thr - Ser- Leu

  3. Thr - Ser - Val

  4. Val - Ser - Thr


Correct Option: , 4

Solution:

Leave a comment