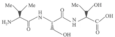
The correct sequence of amino acids present in the tripeptide given below is:

Question:

The correct sequence of amino acids present in the tripeptide given below is:

  1. Val - Ser - Thr

  2. Thr - Ser - Val

  3. Leu - Ser - Val

  4. Thr - Ser - Leu


Correct Option: 1

Solution:

Leave a comment