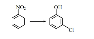
Question: The correct sequence of correct reagents for the following transformation is :-

(i) $\mathrm{Fe}, \mathrm{HCl}$
(ii) $\mathrm{Cl}_{2}, \mathrm{HCl}$,
(iii) $\mathrm{NaNO}_{2}, \mathrm{HCl}, 0^{\circ} \mathrm{C}$
(iv) $\mathrm{H}_{2} \mathrm{O} / \mathrm{H}^{+}$
(i) $\mathrm{Fe}, \mathrm{HCl}$
(ii) $\mathrm{NaNO}_{2}, \mathrm{HCl}, 0^{\circ} \mathrm{C}$
(iii) $\mathrm{H}_{2} \mathrm{O} / \mathrm{H}^{+}$
(iv) $\mathrm{Cl}_{2}, \mathrm{FeCl}_{3}$
(i) $\mathrm{Cl}_{2}, \mathrm{FeCl}_{3}$
(ii) $\mathrm{Fe}, \mathrm{HCl}$
(iii) $\mathrm{NaNO}_{2}, \mathrm{HCl}, 0^{\circ} \mathrm{C}$
(iv) $\mathrm{H}_{2} \mathrm{O} / \mathrm{H}^{+}$
(i) $\mathrm{Cl}_{2}, \mathrm{FeCl}_{3}$
(ii) $\mathrm{NaNO}_{2}, \mathrm{HCl}, 0^{\circ} \mathrm{C}$
(iii) $\mathrm{Fe}, \mathrm{HCl}$
(iv) $\mathrm{H}_{2} \mathrm{O} / \mathrm{H}^{+}$
Correct Option: , 3
Solution:
