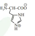
The correct structure of histidine in a strongly acidic solution

Question:

The correct structure of histidine in a strongly acidic solution $(\mathrm{pH}=2)$ is

 


Correct Option: 1

Solution:

Histidine is

Zwitter ionic form

pIn $=7.59$

Leave a comment