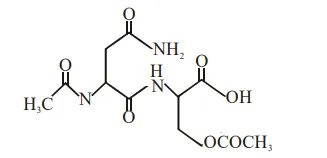
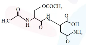
Question:
The correct structure of product 'P' in the following reaction is:
Asn-Ser $+\underset{\text { (excess) }}{\left(\mathrm{CH}_{3} \mathrm{CO}\right)_{2}} \mathrm{O} \stackrel{\mathrm{NEt}_{3}}{\longrightarrow} \mathrm{P}$
Correct Option: 1
Solution:
Asn-Ser is dipeptide having following structure

$\mathrm{Asn}-\mathrm{Ser}+\underset{\substack{\text { excess }}}{\left(\mathrm{CH}_{3} \mathrm{CO}\right)_{2}} \mathrm{O} \stackrel{\mathrm{NEt}_{3}}{\longrightarrow} \mathrm{P}$
$P$ is




