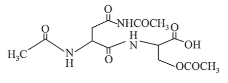
The correct structure of product 'P' in the following reaction is:

Question:

The correct structure of product 'P' in the following reaction is:


Correct Option: , 2

Solution:

Leave a comment